Наливайченко обнародовал доказательства коррупции в окружении Гонтаревой
Лидер «Антикоррупционного движения» Валентин Наливайченко обнародовал документы, в которых есть доказательства того, что окружение главы Национального банка Украины Валерии Гонтаревой лоббирует интересы американской компании с помощью офшоров.
Документы он разместил на своей странице в Facebook.
«Вашему вниманию предлагаются некоторые документы, которые, убежден, обязательно должны стать предметом расследования со стороны украинских правоохранительных органов», — написал Наливайченко.
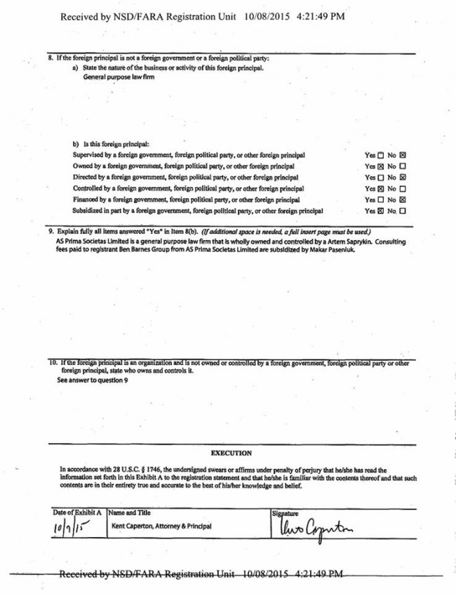
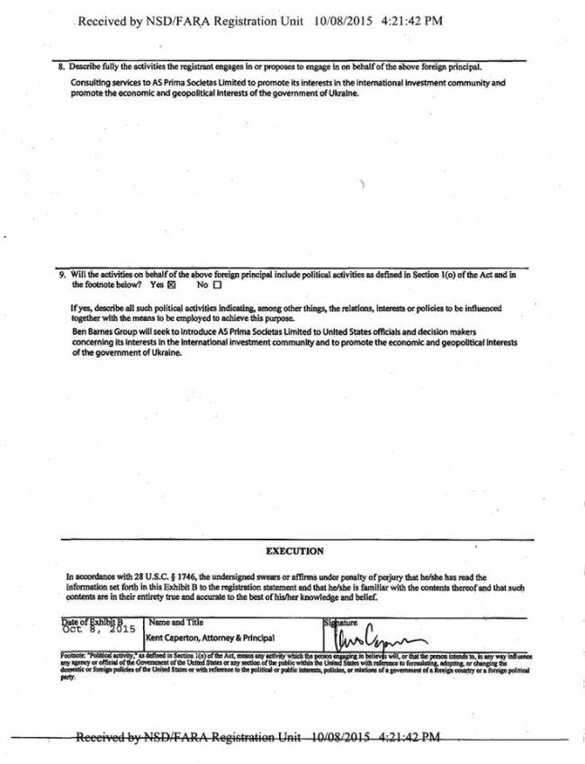
Он отметил, что приближенные к Гонтаревой должностные лица и граждане Украины Макар Пасенюк и Артем Сапрыкин решились на территории США использовать сомнительные средства и через оффшорную фирму оплачивать услуги лоббистской компании для "продвижения экономических и геополитических интересов правительства Украины".
Стоимость таких услуг составила 100 тыс долларов в месяц в течение одного года, до сентября 2016 года.
В документе также сказано, что компания AS Prima Sodetas Limited "полностью относится и контролируемая Артемом Сапрыкиным", а услуги лоббистов оплачиваются за счет Пасенюка.
"Итак, 8 октября 2015 было подано регистрационное заявление в Департамент юстиции США по ФАРА (The Foreign Agents Registration Act) от американской лоббистской компании Ben Barnes Group по компании AS Prima Sodetas Limited, зарегистрированной на Британских Виргинских островах", - добавил он.
По материалам: podrobnosti.ua







