Коррупционные схемы на украинской таможне
Тезисы о борьбе с коррупцией в стране совершенно не вяжутся с происходящим на украинской таможне, они кажутся абсолютно неуместными в ситуации, которая имеет место практически на всех таможнях Украины
Особым цинизмом отличаются коррумпированные чиновники Киева, Херсона, Запорожья - размеры этой коррупции не только не знают границ, но и поражают своей безнаказанностью. Таможенники и активисты обратились власти с открытым письмом с призывом повлиять на сложившуюся ситуацию в стране, сообщает "Голос.ua".
1
ПРЕЗИДЕНТУ УКРАИНЫ ПОРОШЕНКО П.А.
ПРЕМЬЕР-МИНИСТРУ УКРАИНЫ ЯЦЕНЮКУ А.П.
АНТИКОРРУПЦИОННОМУ ПРОКУРОРУ ХОЛОДНИЦКОМУ Н.И.
ГЛАВЕ СЛУЖБЫ БЕЗОПАСНОСТИ УКРАИНЫ ГРИЦАКУ В.С.
ГЛАВЕ НАЦИОНАЛЬНОЙ ПОЛИЦИИ ДЕКАНОИДЗЕ Х.
ОТКРЫТОЕ ПИСЬМО
На Украинской таможне, начиная с лета 2015 года работает преступная группировка, которая занимается контрабандой и финансовыми махинациями, связанными с таможенной очисткой товаров народного потребления китайского и турецкого производства, в особо крупных размерах. Возглавляет данную преступную группировку глава ДФС Украины Роман Насиров. Управлением занимается Романенко (бывший начальник Киевской региональной таможни, кум Игоря Калетника), в связке с заместителем руководителя главного управления по борьбе с коррупцией и оргпреступностью СБУ (управление ”K”) Василием Писным. Исполнителем преступных схем являются действующий сотрудник ДВБ полиции Сергей Сердюк в связке с бывшим сотрудником Одесской таможни Денисом Аминевым, а так же с известным контрабандистом Орестом Фирманюком.
В этой преступной группировке у каждого есть свои задачи. Роман Насиров занимается лоббированием и защитой данной контрабандной схемой внутри структур ДФС и в администрации президента. Романенко является главным кассиром таможни у Романа Насирова и лоббирует данную преступную схему на таможенных постах в Киевской, Херсонской и Запорожской областях. Юрий Шеремет (одноклассник Романа Насирова, начальник Главного управления собственной безопасности ДФС) обеспечивающий безопасность работы данной схемы, который должен бороться с такими схемами, а не возглавлять их. Василий Писной выполнят «крышевание» данной схемы в органах СБУ и высших эшелонах прокуратуры и МВД. Сергей Сердюк, являющийся бывшим подчиненным Василия Писного скоторым его связывают давние коррупционные схемы, занимается непосредственной координацией и контролем работы данных махинаций на низших уровнях силовых структур. Денис Аминев занимается обеспечением работы данных схем непосредственно на таможенных постах, а также сбором контейнеров и денежных средств. Орест Фирманюк также обеспечивает работу данных схем непосредственно на таможенных постах, а также занимается сбором контейнеров и денежных средств. Имеет серьезные связи с высшими чинами Генеральной Прокуратуры, а также очень близкий друг Романенко. Данная преступная группировка работает с июня 2015 года. Зона деятельности данной группировки распространялась на Одесскую таможню, а после прихода нового начальника Одесской таможни Марушевской Ю.Л. ставленницы Михаила Саакашвили, они перебрались в Киевскую, Херсонскую и Запорожскую таможни, где на руководящих должностях стоят люди Романенко. Данный факт, несомненно, свидетельствует об отсутствии возможности проводить коррупционные схемы при находящейся у власти команде Михаила Саакашвили и начальника Одесской таможни Юлии Марушевской.
С июня месяца данная группировка производит таможенное оформление контейнеров и машин на разные компании ” площадки” (ямы) которые меняют с периодичностью раз в месяц.
Оформления происходили на следующие фирмы:
ТОВ "ВЕЙСЕС" 01103, М. КИЇВ, ВУЛ. КІКВІДЗЕ, 26, КВ.143 код ОКПО 39419613
ТОВ "ВІРАСТ" 01004, М.КИЇВ, ВУЛ. БАСЕЙНА, БУД. 5Б код ОКПО 39246549
ТОВ "АЛЬФА-СОЮЗ ЛТД" 04213, М.КИЇВ, ПРОСПЕКТ ГЕРОЇВ СТАЛІНГРАДА, БУДИНОК 47А, ОФІС 3 код ОКПО 39781404
ТОВ "ДОМУС АЛЬЯНС" 01042, М. КИЇВ, ПРОВ. НОВОПЕЧЕРСЬКИЙ, БУД. 19/3, КОРП. 1, КВ. 14 код ОКПО 39815354
ТОВ "ПРОФ БІЗНЕС ГРУП" 04074, М.КИЇВ, ПРОВ. ЛАБОРАТОРНИЙ, БУД. 1, КІМН. 147 код ОКПО 39843182
ТОВ "ЛЕНДМАРКЕТ" 04210, М.КИЇВ, ВУЛ. ЛЕБЕДИНСЬКА, БУД. 4 147 код ОКПО 39837870
ТОВ "МІД СТАР ГРУП" 02002, М.КИЇВ, ВУЛ. МАРИНИ РАСКОВОЇ, БУД. 23 код ОКПО 39835449
ТОВ "СЕЙЛЗ ПРОФІ" 02002, М.КИЇВ, ВУЛ. МАРИНИ РАСКОВОЇ, БУД. 23код ОКПО 39890248
ТОВ "СТРОЙ БІЗНЕС ГРУП" 04073, М.КИЇВ, ВУЛ. КУРЕНІВСЬКА, БУД. 14-Б код ОКПО 39911215
ТОВ "ГРІН-БЕЛТС" 01133, М.КИЇВ, ПРОВ. ЛАБОРАТОРНИЙ, БУД. 1, КВ. (ОФІС) 146 ОКПО 39915780
ТОВ "ЛАЙТ-ХОУП"01133,М.КИЇВ, ПРОВ. ЛАБОРАТОРНИЙ, БУД. 1, КВ. (ОФІС) 178 ОКПО39918231
ТОВ "СПЕЦБІЗНЕС ІНВЕСТ" 04210, М. КИЇВ, ВУЛ. ЛЕБЕДИНСЬКА, БУД. 4 ОКПО39844537
ТОВ "ОМІКРОН ПЛЮС" 01042 М. КИЇВ, ВУЛ.ІВАНА КУДРІ, БУД.5, КІМНАТА 205-А ОКПО39670909
ТОВ "ІМПОРТ ЛЕНД" 04074, М. КИЇВ, ВУЛ. БЕРЕЖАНСЬКА, БУД. 4 ОКПО 39790356
ТОВ "ЄВРО ЕФЕКТ" 01042 М. КИЇВ, ВУЛ.ІВАНА КУДРІ, БУДИНОК 39, КАБІНЕТ 1 ОКПО 39915876
ТОВ "ЕДВАНС ТРЕЙД" 01030, М.КИЇВ, ВУЛ.М.КОЦЮБИНСЬКОГО, БУД.4-Б, КВ. (ОФІС) 17/1 ОКПО 39975525
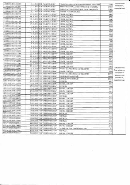
100% оформлений данной группировки проходят с подменой наименований, занижением таможенной стоимости и веса.
Как пример декларация №125130013/2015/410560 от 30/10/2015
Заявлено к оформлению
ткань 5% ставка пошлины по2,42$/кг -45% товара
нитки 0% ставка пошлины по1,08$/кг-55% товара
Реально в контейнере только ткань 5% ставка пошлины по 3,36$/кг.
Недоплата по этому оформлению 291000 грн,
И это не единичный случай, за указанный период было оформлено более 450 деклараций по такой схеме. Совокупный ущерб порядка 100 млн. грн.
Такое количество ниток не завозилось на территорию Украины за все время ее существования, разве только во времена режима Януковича, когда завозились одни зубочистки и резинки для трусов.
Такая же ситуация с оформлением одежды и обуви, только здесь оформляется ткань или хозяйственные рукавички, что в три раза дешевле чем одежда и обувь.
К примеру декларация № 125130013/2015/437743 от 10.11.2015
Заявлено к оформлению
Обувь 10% ставка пошлины по 6,6$/кг – 15% товара
стельки для обуви 10% ставка пошлины по 2,7 $/кг – 17% товара
рукавички хозяйственные 5% ставка пошлины по 1,5 $/кг – 52% товара
подошва для обуви 10% ставка пошлины по 2,6$/кг – 16% товара
Реально в контейнере только обувь 10% ставка пошлины по 6,6$/кг.
Недобор таможенныхплатежейв бюджет с контейнера составил 371000 грн.
Такая тенденция прослеживается абсолютно во всех оформлениях данной преступной группы. После анализа этих оформлений вдруг оказывается, что в контейнерах 80-90 % дешёвого товара, что не соответствует анализу оформлений других компаний. Подобных оформлений около 520. Совокупный ущерб около 200 млн. грн. За указанный период подобным образом было оформлено около 1500 деклараций. По самым скромным просчетам за время действия данной преступной группировки из бюджета было украдено более 500 млн. грн., и это все без учета контрафактной одежды и обуви, парфюмерии, поддельные акцизные марки и кто знает еще каких товаров, которые могли быть провезены в Украину без соответствующего таможенного контроля. Все вышесказанное выглядит довольно странным явлением на фоне процессов происходящих в стране. Тезисы о борьбе с коррупцией и деолигархизацией кажутся абсолютно неуместными в данной ситуации. Цинизм коррумпированных чиновников и их прихлебателей не только не знает границ, но и поражает своей безнаказанностью. Слава Украине. Таблицы с перечнем номеров деклараций и нарушений прилагаются.





По материалам: sled.net.ua